
Complexity Theory
- O(1)
- Tris (Sorts)
- Classes de complexité: NP/P, NP complete, NP hard
- Listes liées (Link) implémentées en Python
- Récursivité
- O( log N)
- O( n )
- O( n log n)
- O( n² )
- O( n! )

Trees (Arbres)



- Binary Trees
- Représentation
- Opérations de base: ajouter/enlever/rechercher
- Applications
- Binary Tree Traversals
- inOrder
- preOrder
- postOrder
- Implementation





Piles (Stacks), Files (Queues) et Listes liées (Linked Lists)




Hash Tables


Graphes et Matrices
Breadth-first search (BFS)
Depth-first search (DFS)
Recherche de la présence d’un cycle dans une graphe
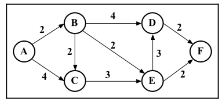
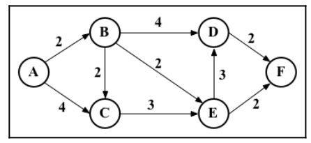
Shortest path algorithms: Dijkstra’s algorithm, Prim’s algorithm, Kruskal’s algorithm
Cycle Eulérien dans un graphe dirigé



Sorting Algorithms
- Bubble Sort
- Selection Sort
- Insertion Sort
- Merge Sort
- Quick Sort
- Heap Sort




