- Permutations
- Arrangements
- le nombre de possibilités de prendre k éléments dans un ensemble à n éléments (en prenant en compte l’ordre)
- exemple: Prendre 2 billes rouges dans un bol de billes RVB: RV, VR, VB, BV, RB, BR
- Combinaisons
- le nombre de possibilités d’avoir k éléments parmi n éléments (sans prendre en compte l’ordre, sans répétition
- exemple: Prendre 2 billes rouges dans un bol de billes RVB (RV=VR, BV=VB, RB=BR): RV, VB, RB
- Arrangements avec répétitions
- Similaire à l’arrangement sans répétition
- exemple: Combinaison d’un cadenas
- nk
- Nombre de “mélanges”: n!
- exemple: Jeu de cartes








































On recherche quelle est la pente de la Tangente à la courbe:






Rechercher à quel endroit la courbe rencontre l’axe X:














Trigonométrie














Limites



































Continuités







1,1,1,1,1… hick up! 3, 1,1,1,1,1














Limites infinies


















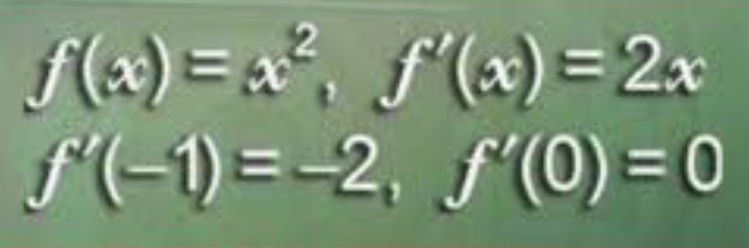
La Dérivée: la pente de la tangente















Règles de base de la Dérivée
















Mathematica: CTRL-6…… Exposant!!!








s0 =hauteur initiale, v0=vitesse au départ, g=32 feet/s2 gravité ou 9.8 m/s2, s’=vitesse après 2 secondes
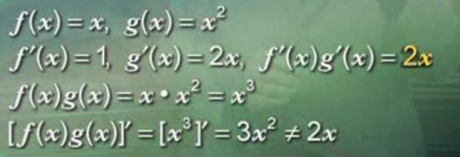
Product & Quotient Rule

























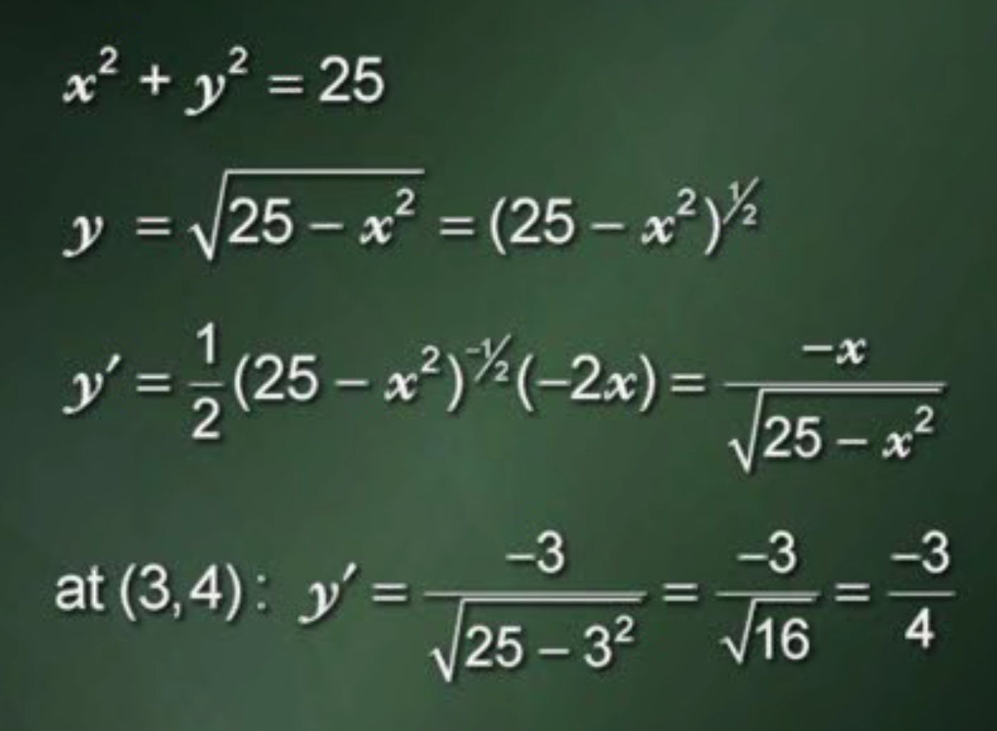
Ch. 10Chain Rule




































Extremum dans un intervalle














































































Ch. 16 Application en Optimisation
Projet: optimiser les dimensions d’une boite de bas carréee ouverte (un fond et 4 côtés) avec 108 pouces2 de matériel.



















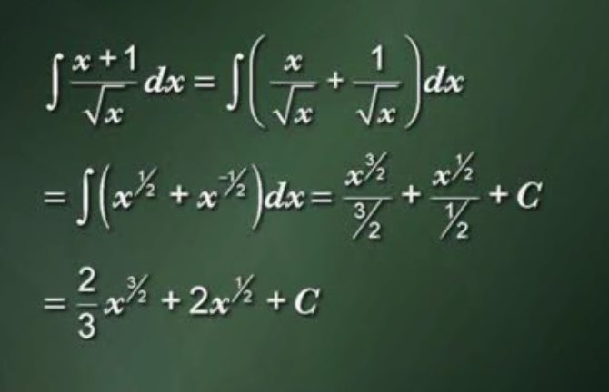
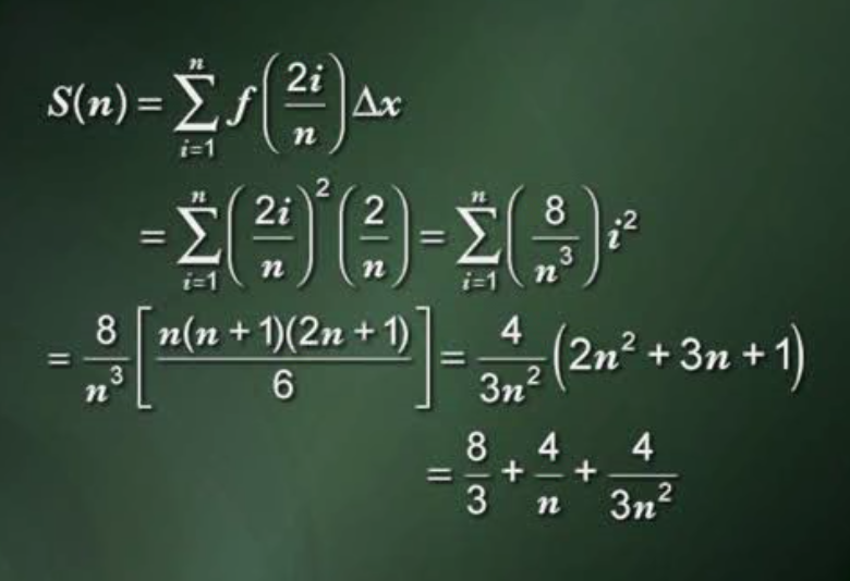
Ch. 18 Intégrales


















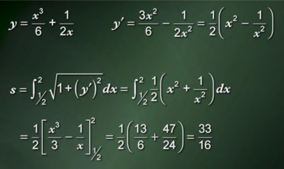
Ch 19: Aire d’une surface
























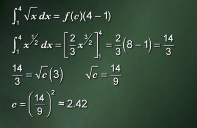
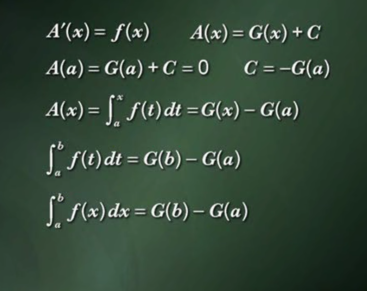
Ch 20 Théorème fondamental du Calcul









































Ch 22 Intégration par substitution





















Ch 23 Intégration numérique: Règle du Trapèze
















Ch 24 Logarithme naturel – Intégration






































































Ch 27 Autres bases






























Ch 28 Fonctions trigonométriques inverses














Ch 29 Aire entre 2 courbes






















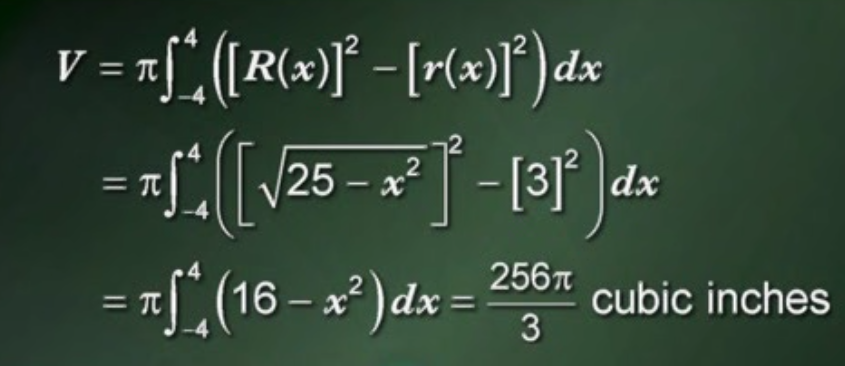
Ch 30 Calculer le Volume: Méthode du Disque (washer, pancake method)






















Ch 31 Volume: The Shell Method (tuna can)




























Applications





















Règles de base












