Ce tutoriel est de mon point de vue le plus formateur par les explications et les expérimentations de ce qui est présenté sur lae traitement d’une image par programmation! J’adore sa présentation et la progression des résultats!





















































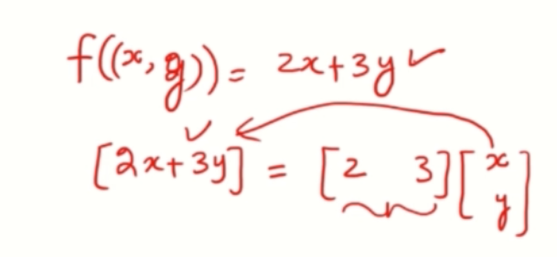
Scaling Transformation












System Image Coordinates





















